通过阅读本篇,您可以:
掌握一维数组的创建和使用方法
掌握二维数组的创建和使用方法
了解如何遍历数组
了解如何填充替换数组中的元素
了解如何对数组进行排序
了解如何复制数组
了解查询数组的方法
数组概述
数组是具有相同数据类型的一组数据的集合。数组中的每个元素具有相同的数据类型。
在Java中同样将数组看作一个对象,虽然基本数据类型不是对象,但由基本数据类型组成的数组却是对象。
一维数组的创建及使用
一维数组实质上是一组相同类型数据的线性集合,当在程序中需要处理一组数据,或者传递一组数据时,可以应用这种类型的数组。
创建一维数组
数组作为对象允许使用new关键字进行内存分配。在使用数组之前,必须首先定义数组变量所属的类型。一维数组的创建有两种形式。
先声明,再用new运算符进行内存分配
声明一维数组有下列两种方式:

数组元素类型决定了数组的数据类型。
它可以是Java中任意的数据类型,包括简单类型和组合类型。数组名字为一个合法的标识符,符号“[ ]”指明该变量是一个数组类型变量。单个“[ ]”表示要创建的数组是一个一维数组。
声明一维数组,实例代码

声明数组后,还不能立即访问它的任何元素,因为声明数组只是给出了数组名字和元素的数据类型
要想真正使用数组,还要为它分配内存空间。在为数组分配内存空间时必须指明数组的长度。
1 | 数组名字 = new 数组元素的类型[数组元素的个数]; |
1 | arr = new int[5]; |
声明的同时为数组分配内存
这种创建数组的方法是将数组的声明和内存的分配合在一起执行。
数组元素的类型 数组名 = new数组元素的类型[数组元素的个数];
1 | int month[ ] = new int[12] |
上面的代码创建数组month,并指定了数组长度为12。这种创建数组的方法也是Java程序编写过程中普遍的做法。
初始化一维数组
数组与基本数据类型一样可以进行初始化操作。
数组的初始化可分别初始化数组中的每个元素。
数组的初始化有以下两种形式:

从中可以看出,数组的初始化就是包括在大括号之内用逗号分开的表达式列表。
使用一维数组
在Java集合中一维数组是常见的一种数据结构。下面的实例是使用一维数组将1~12月各月的天数输出。


二维数组的创建及使用
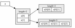
如果一维数组中的各个元素仍然是一个数组,那么它就是一个二维数组。
二维数组的创建
二维数组可以看作是特殊的一维数组,因此,二维数组的创建同样有两种方式。
先声明,再用new运算符进行内存分配
声明二维数组的语法如下:
1 | 数组元素的类型 数组名字[ ][ ]; |
例如:int myarr[][];
同一维数组一样,二维数组在声明时也没有分配内存空间,同样要使用new关键字来分配内存,然后才可以访问每个元素。
对于高维数组,有两种为数组分配内存的方式:
(1) 直接为每一维分配内存空间
为每一维数组分配内存,实例代码如下
1 | a = new int[2][4] |
上述代码创建了二维数组a,二维数组a中包括两个长度为4的一维数组
(2) 分别为每一维分配内存
分别为每一维分配内存,实例代码如下
1 | a = new int[2][]; |
声明的同时为数组分配内存
第二种方式同第一种实现的功能相同。使用这种方式为二维数组分配内存时,首先指定最左边维数的内存,然后单独地给余下的维数分配内存。

二维数组初始化
二维数组的初始化与一维数组初始化类似,同样可以使用大括号完成。
语法如下:
1 | type arrayname[][] = {value1,value2…valuen}; |
type:数组数据类型。
arrayname:数组名称,一个合法的标识符。
value:数组中各元素的值。
初始化二维数组,实例代码如下:
1 | int myarr[][] = {{12,0},{45,10}}; |
初始化二维数组后,要明确数组的下标都是从0开始。例如,上面的代码中myarr[1] [1]的值为10。
int型二维数组是以int a [][]来定义的,所以可以直接给a[x] [y]赋值。例如,给a[1]的第2个元素赋值的语句如下
1 | a[1][1] = 20 |
使用二维数组
二维数组在实际应用中用得非常广泛。
下面的实例就是使用二维数组输出一个3行4列且所有元素都是0的矩阵。

运行结果如图

数组的基本操作
java.util包的Arrays类包含了用来操作数组(如排序和搜索)的各种方法,本节就将介绍数组的基本操作。
遍历数组
遍历数组就是获取数组中的每个元素。通常遍历数组都是使用for循环来实现。遍历一维数组很简单,也很好理解,下面详细介绍遍历二维数组的方法。
遍历二维数组需使用双层for循环,通过数组的length属性可获得数组的长度。
1 | public class Trap{ |
运行结果如图

在遍历数组时,使用foreach语句可能会更简单。下面的实例就是通过foreach语句遍历二维数组。
在项目中创建类Tautog,在主方法中定义二维数组,使用foreach语句遍历二维数组代码如下:
1 | public class Tautog{ |
运行结果:

填充替换数组元素
数组中的元素定义完成后,可通过Arrays类的静态方法fill()来对数组中的元素进行替换。
该方法通过各种重载形式可完成对任意类型的数组元素的替换。fill()方法有两种参数类型,下面以int型数组为例介绍fill()方法的使用方法。
(1) fill(int[] a,int value)
该方法可将指定的int值分配给int型数组的每个元素。
语法如下
1 | fill(int[] a,int value) |
a:要进行元素替换的数组。
value:要存储数组中所有元素的值。
在项目中创建类Swap,在主方法中创建一维数组,并实现通过fill()方法填充数组元素,最后将数组中的各个元素输出。
1 | import java.util.Arrays; |

(2) fill(int[] a,int fromIndex,int toIndex,int value)
该方法将指定的int值分配给int型数组指定范围中的每个元素。填充的范围从索引fromIndex(包括)一直到索引toIndex(不包括)。如果fromIndex == toIndex,则填充范围为空。
语法如下:
1 | fill(int[] a,int fromIndex,int toIndex,int value) |
a:要进行填充的数组。
fromIndex:要使用指定值填充的第一个元素的索引(包括)。
toIndex:要使用指定值填充的最后一个元素的索引(不包括)。
value:要存储在数组所有元素中的值。
下实例我们通过 Java Util 类的 Arrays.fill(arrayname,value) 方法和Arrays.fill(arrayname ,starting index ,ending index ,value) 方法向数组中填充元素:
1 | import java.util.*; |
以上代码运行输出结果为:
1 | 100 |
对数组进行排序
通过Arrays类的静态sort()方法可以实现对数组的排序。sort()方法提供了多种重载形式,可对任意类型的数组进行升序排序。
语法如下
1 | Arrays.sort(object) |
其中,object是指进行排序的数组名称

运行结果如图

上述实例是对整型数组进行排序。Java中的String类型数组的排序算法是根据字典编排顺序排序的,因此数字排在字母前面,大写字母排在小写字母前面。
复制数组
Arrays类的copyOf()方法与copyOfRange()方法可以实现对数组的复制。copyOf()方法是复制数组至指定长度,copyOfRange()方法则将指定数组的指定长度复制到一个新数组中。
(1) copyOf()方法
该方法提供了多种重载形式,用于满足不同类型数组的复制。语法如下

arr:要进行复制的数组。
newlength:int型常量,指复制后的新数组的长度。
1 | int[] a = {1,2,3,4}; |
运行结果
1 | [1, 2] [1, 2, 3] [1, 2, 3, 4, 0] |
(2) copyOfRange()方法
该方法同样提供了多种重载形式
1 | copyOfRange(arr,int formIndex,int toIndex) |
arr:要进行复制的数组对象。
formIndex:指定开始复制数组的索引位置。formIndex必须在0至整个数组的长度之间。新数组包括索引是formIndex的元素。
toIndex:要复制范围的最后索引位置。可大于数组arr的长度。新数组不包括索引是toIndex的元素。

运行结果如图

数组查询
Arrays类的binarySearch()方法,可使用二分搜索法来搜索指定数 组,以获得指定对象。该方法返回要搜索元素的索引值。binarySearch() 方法提供了多种重载形式,用于满足各种类型数组的查找需要。binarySearch()方法有两种参数类型。
(1) binarySearch(Object[],Object key)
1 | binarySearch(Object[] a, Object key) |
a: 要搜索的数组
key:要搜索的值
如果key在数组中,则返回搜索值的索引;否则返回-1或“-”(插入点)。插入点是索引键将要插入数组的那一点,即第一个大于该键的元素的索引。
技巧:
[1] 搜索值不是数组元素,且在数组范围内,从1开始计数,得“ - 插入点索引值”;
[2] 搜索值是数组元素,从0开始计数,得搜索值的索引值;
[3] 搜索值不是数组元素,且小于数组内元素,索引值为 – 1;
[4] 搜索值不是数组元素,且大于数组内元素,索引值为 – (length + 1);
1 | import java.util.Arrays; |
结果
1 | 数字【0】:-1 |
(2) binarySearch(Object[],int fromIndex,int toIndex,Object key)
该方法在指定的范围内检索某一元素。

a:要进行检索的数组。
fromIndex:指定范围的开始处索引(包含)。
toIndex:指定范围的结束处索引(不包含)。
key:要搜索的元素。


Java 字符串—JAVA语言基础
字符串是Java程序中经常处理的对象,如果字符串运用得不好,将影响到程序运行的效率。(本文章参考《Java从入门到精通 第5版 明日科技》。故不采用
--- over ---
- 本文链接: https://i-nmb.cn/array.html
- 版权声明: 本博客所有文章除特别声明外,均默认采用 CC BY-NC-SA 4.0 许可协议。